本文基于2025年发表于《Journal of Cardiopulmonary Rehabilitation and Prevention》的原始研究,系统解读心肺体能(CRF)、肥胖与死亡风险之间的长期关系,旨在为临床医生提供可直接转化的循证依据。

一、研究背景
肥胖与心血管疾病风险密切相关,但“肥胖悖论”长期存在争议。近年来研究提示,真正决定预后的关键因素可能是心肺体能水平,而非体重本身。
二、研究设计
研究基于意大利ITER注册研究,纳入2860名稳定期心血管疾病门诊患者,随访中位时间11年。
研究基于意大利Ferrara大学主导的ITER注册研究(InTegrating exERcise into lifestyle of cardiac outpatients)。纳入时间:1997–2023年最终分析人数:2860名稳定期心血管疾病门诊患者中位随访时间:11年
累计观察:16,436 人年,患者既往病史包括:
急性心肌梗死
冠脉介入(PCI)
冠脉搭桥(CABG)
心脏瓣膜手术
三、体能与肥胖评估方法
采用1公里跑台步行试验估算VO₂peak评估CRF,并结合BMI与预测体脂率(pBF%)进行分层分析。
(一)心肺体能:简单但被反复验证的评估工具
研究采用的是1公里跑台步行试验 来估算峰值摄氧量(VO₂peak)。
该测试具有以下特点:
亚最大负荷
采用 Borg 评分 11–13分控制运动强度
根据步行速度、心率、年龄、性别、β 受体阻滞剂使用情况进行校正
与标准 CPET 相比,该方法:
安全性更高
操作更简便
特别合心血管门诊与康复环境
研究根据年龄和性别校正后的 VO₂peak,将患者分为:
体能良好(fit)
体能较低(unfit)
(二)肥胖评估:不只看 BMI
研究并未局限于 BMI,而是同时引入了 预测体脂率(predicted body fat percentage, pBF%):
BMI:正常体重 / 超重 / 肥胖
pBF%:低 / 中 / 高三分位
这种“双指标策略”有助于避免单纯 BMI 低估脂肪负担的问题,也使结论更加稳健。
四、核心研究结果
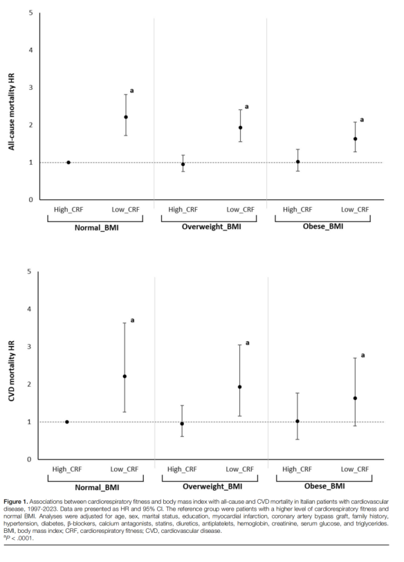
结果显示,在所有体重和体脂水平下,体能较低者的全因及心血管死亡风险显著升高;而体能良好可明显削弱肥胖带来的不利影响。


五、临床启示
CRF应作为心血管二级预防的核心指标之一,管理重点不应仅局限于减重,而应优先提升体能水平。
1、总体死亡情况
在 11 年的中位随访中:
共发生 1034 例全因死亡
其中 463 例为心血管死亡
年均死亡率约 6.1%
这是一个事件数充足、统计效能较高的队列。
2、BMI × 心肺体能:清晰的分层效应
在调整年龄、性别、合并症、用药等多重混杂因素后,研究发现:
在所有 BMI 分层中,体能较低者的死亡风险始终显著高于体能良好者
超重或肥胖本身并非“保护因素”,只是其风险在高体能水平下被部分削弱
关键结果包括:
超重 + 体能差
→ 全因死亡风险 ↑ 93%(HR 1.93)
肥胖 + 体能差
→ 全因死亡风险 ↑ 63%
同一 BMI 水平下,体能良好者的风险显著降低
3、体脂率 × 心肺体能:结论进一步强化
当采用 pBF% 分层时,结果更加直观:
中等体脂 + 体能差:
全因死亡风险 ↑ 147%
高体脂 + 体能差:
全因死亡风险 ↑ 107%
即便在高体脂人群中:
体能良好者的预后明显优于体能较低者
这一结果提示:
脂肪负担确实重要,但功能状态才是决定长期结局的关键变量。
六、总结
体重重要,但体能更关键。提高心肺体能是当前心血管二级预防中最具可行性和高回报的干预策略之一。
参考文献:略
作者:张诗源编译
来源:《Journal of Cardiopulmonary Rehabilitation and Prevention》
声明:
1.本网站所有内容,凡是注明 “来源:心脏康复网”的文字、图片和音视频资料,授权转载时须请注明“来源:心脏康复网”。
2.本网所有转载文章系出于学术分享的目的,版权归原作者所有。如有侵权,请及时联系我们更改或删除。