
抑郁症和焦虑症是全球主要的心理健康问题,分别影响3.22和2.64亿人。世界卫生组织将抑郁症列为导致全球残疾的主要原因(7.5%),焦虑症排在第六位(3.4%)。越来越多的证据表明,抑郁症或焦虑症患者有更高的共病风险,特别是心血管疾病和过早死亡,并导致更高的个人和医疗费用。

人们逐渐意识到,良好的身体健康可能对预防精神健康障碍起到关键的保护作用。尽管已有研究证实心肺功能不足与抑郁和焦虑的风险增加有关,但肌肉力量对精神健康的具体影响尚未充分明确。握力(Handgrip Strength, HGS)作为一种简易、非侵入性和经济的肌肉力量评估手段,已经显示出与多种慢性疾病和不同年龄段人群的死亡风险相关联。最新研究甚至指出,握力能够提高心血管疾病风险评估的准确性。尽管如此,关于握力与焦虑症发展之间的关系,尤其是它们之间的时间顺序,目前的研究还相对较少。有研究发现握力与广泛性焦虑症的发病率并无显著关联,但该研究的对象主要是年龄在50岁以上的3,234名受试者,这可能限制了研究结果在更广泛人群中的适用性。另一方面,国外研究者在英国生物库的研究中发现握力与焦虑之间存在显著关联,尽管该研究使用的是受试者自我报告的焦虑量表,这可能带来一定的主观性。

尽管越来越多的研究显示肌肉力量不足可能与抑郁症有关,但以往的研究主要关注已有抑郁症史患者的复发情况,而非健康人群中抑郁症的初次患病。最近的一项综述分析了9项纵向研究,发现较高的肌肉力量与较低的抑郁症状风险相关。然而,该综述也指出了对这一领域进一步研究的需求,特别是需要覆盖更广泛年龄层的研究,并能够控制更多可能的混杂因素。为了填补现有研究的空白,本研究利用英国生物库的数据进行了探究,这是一项大规模的前瞻性队列研究。本研究旨在调查握力(HGS)与抑郁和焦虑事件之间的联系,并探索这些联系是否受到社会人口统计学特征、生活方式和健康相关因素的影响。抑郁症和焦虑症是全球主要的心理健康问题,分别影响3.22和2.64亿人。世界卫生组织将抑郁症列为导致全球残疾的主要原因(7.5%),焦虑症排在第六位(3.4%)。越来越多的证据表明,抑郁症或焦虑症患者有更高的共病风险,特别是心血管疾病和过早死亡,并导致更高的个人和医疗费用。
方法和结果
本研究使用英国公共数据库UK Biobank进行研究分析。抑郁随访中位时间10.0年,焦虑症的中位随访期为9.9年。在随访期间,5462 名(3.4%)受试者出现抑郁症,6614 名(4.1%)名受试者出现焦虑。
握力:通过使用Jamar J00105液压式手握力计进行测量。测量过程中,受试者被要求坐直,肘部放在身体侧面并弯曲成90°,测量时,会分别对右手和左手进行单次3秒钟的最大握力尝试,然后计算两手的平均值,并以公斤为单位表示。
抑郁、焦虑诊断:由医生根据英国国家卫生和护理卓越研究所(National Institute for Health and Care Excellence, NICE)的指南进行诊断的。通过这种方式,研究者能够利用详细的医疗记录来确定受试者是否发生了抑郁或焦虑事件,而不是依赖于自我报告的量表或问卷。这种方法提供了更为客观和准确的精神健康事件评估。

根据握力(HGS)三分位数划分受试者特征。与握力最高的受试者相比,握力最低的受试者更可能是女性,来自较贫困的地区,是非白人种族;此外,这些人往往年纪较大、肥胖、拥有多种慢性疾病、更慢的步行速度、更少的水果、蔬菜和红肉摄入量。但是,相比之下,他们饮酒的频率较低。

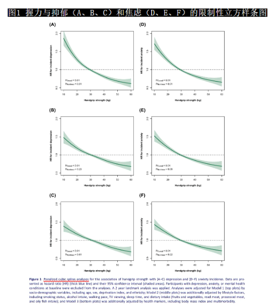
图1展示了握力(HGS)与抑郁症发病率之间的关系。结果表明,HGS与抑郁症之间并不存在非线性关系。随着模型逐步纳入生活方式和健康相关因素进行调整,HGS与抑郁症风险之间的关联程度有轻微的减弱,但整体上保持线性(图1)。具体来说,每降低5公斤的握力,抑郁症的发病风险就会增加13%。在考虑了生活方式因素后,握力每降低5公斤,抑郁症风险的增加幅度略有下降至8%,而在进一步考虑了健康相关因素后,风险增加幅度减小到7%(表2)。当根据HGS的三分位数来评估抑郁症风险时,与最高三分位数的人群相比,处于中间和最低三分位数的人群患抑郁症的风险分别高出14%和39%。在对生活方式和健康相关因素进行调整后,虽然关联性有所减弱,但仍然具有统计学意义(表2)。焦虑的结果与抑郁类似。


(图2、图3)按社会人口统计学、生活方式和健康相关因素分层时,除了步行速度外,没有观察到显著的交互作用,因此在平均或快步行速度的人中,每减少5公斤体重,发生抑郁症的风险略高于慢步行速度的人。而在焦虑的亚组分析中发现,在年龄较大的受试者和生活在较富裕地区的人中,与握力的关联更强。
二、讨论
本项研究的关键发现是,在精神健康的成年人中,握力较弱(HGS较低)与抑郁和焦虑风险的增加存在显著关联。尽管考虑了社会人口统计学、健康状况和生活方式等多种潜在的干扰因素,这些关联仍然存在。这一发现对公共卫生领域具有重要意义,因为它暗示了维持良好的肌肉力量可能对预防抑郁和焦虑有积极作用。尽管如此,由于当前研究设计的限制,本研究无法确定因果关系。因此,未来的研究应采用随机对照试验的方法,以更准确地评估肌肉强化运动训练对缓解焦虑和抑郁症状的潜在效果。
尽管已有研究报道了肌肉力量与抑郁症状之间的横断面关联,但关于这方面的前瞻性研究证据仍然有限且结果不一。例如,Bertoni等人的研究在12个欧洲国家的6526名70岁及以上成年人中发现,无论是基线还是随访期间的握力(HGS)均与抑郁症状的发生无显著关联。然而,与此相反,在英国(3862名64.4±8.3岁的成年人)和意大利(970名65岁及以上老年人)的队列研究中,较低的HGS与老年人抑郁症状的发展有关联。同样,McDowell等人的研究发现,在爱尔兰4104名50岁及以上成年人的样本中,经过2年的随访,握力处于中等和较高水平的人群报告抑郁事件的几率分别降低了32.1%和32.8%。此外,在4314名40至79岁的日本成年人的前瞻性队列研究中,较低的HGS与1年后出现抑郁症状的风险相关(校正后的OR为1.13)。另一项针对8470名45岁及以上中国成年人的前瞻性队列研究,在平均3.7年的随访后发现,握力每增加1个标准差,严重抑郁症状的风险降低了13%。然而,这些研究大多局限于老年人群,并且抑郁症的诊断主要基于自我报告而非临床评估。最近,一项利用英国生物银行受试者数据的研究显示,通过问卷调查(Patient Health Questionnaire-9)估计的低和中等握力与较高的抑郁症发病率相关(分别为1.41和1.12倍)。因此,本研究为肌肉力量与抑郁风险之间的负相关关系提供了更多证据。
关于焦虑症状,目前的研究表明,较低的HGS与焦虑症的持续存在之间可能存在联系。然而,HGS与新发焦虑症之间的关系尚未得到充分研究和证实。在Carvalho等人的研究中,通过对爱尔兰老龄化纵向研究中的5271名受试者进行分析,他们并未发现肌力低下(男性HGS小于30kg,女性小于20kg)与焦虑症的发生有显著关联。Gordon等人在同一队列的3234名受试者中进行的研究则发现,HGS每增加1个标准差(SD),广泛性焦虑症的发生几率降低了24.2%。然而,本研究发现,与HGS位于最高三分位数的受试者相比,处于中间和最低三分位数的受试者发生焦虑症的风险分别增加了13%和27%。此外,补充分析还显示,肌力低下(男性HGS小于26kg,女性小于16kg)与焦虑症风险增加24%有关。Kandola等人的研究也发现,低和中等HGS与通过广泛性焦虑症自评量表报告的焦虑发生率分别增加了1.38和1.14倍。本研究结果支持了Kandola等人的发现,但本研究中使用的是来自医院和初级保健记录的更客观的数据,而非仅仅依赖于自我报告的抑郁症状。尽管如此,鉴于目前相关研究的数量仍然有限,未来仍需进一步探讨HGS对焦虑症发作的潜在保护作用。
有趣的是,社会人口统计、生活方式和健康相关因素对HGS与抑郁和焦虑发生率之间的关系有一定的缓和作用。特别是在抑郁症的发生方面,研究结果观察到HGS与步行速度之间存在显著的交互效应。具体来说,与步行速度较慢的人群相比,步行速度中等或较快的人群中,HGS与抑郁症的关联更为显著。已有研究表明,步行速度较慢的个体患抑郁症的风险更高,这可能是因为行动能力受限影响了日常生活活动,进而削弱了自尊并减少了社交互动,这些因素都可能促成抑郁症的发展。因此,在本研究中,受试者可能已经处于较高的抑郁基线风险中,这可能减少了低HGS对抑郁风险的额外影响。在59岁及以上的受试者中,发现HGS与焦虑症发生之间的关联更为显著,这与之前的研究结果相符,即HGS对老年人的心理健康影响更大。此外,先前的荟萃分析也指出,力量训练在60岁以上的患者中治疗情绪障碍的效果更佳。这可能是因为HGS与老年人的功能能力和认知功能有着密切的联系。同样,在生活在较为富裕地区的受试者中,HGS与事件焦虑之间的关联更为强烈。Linder等人的最近评论指出,在社会经济地位较低的群体中,抑郁和焦虑的负面影响更为严重。因此,这可能意味着在资源较为匮乏的社区中,HGS对预防或减轻事件焦虑的潜在益处可能不会那么显著,这可能是因为这些地区获取治疗或预防措施的机会更为有限。
尽管HGS与抑郁或焦虑发展的确切机制尚未完全明了,但可以通过神经生理和心理社会的途径来推测一些可能的解释。研究表明,焦虑和抑郁症患者的大脑结构和功能发生了改变,尤其是在海马体区域,这是与情绪处理和压力调节密切相关的部位。此外,这些情绪障碍患者的脑源性神经营养因子(BDNF)水平往往较低,而BDNF是神经元生长和可塑性的关键指标。值得关注的是,HGS较大的个体往往拥有更大的海马体体积、更完整的白质结构以及更好的神经认知功能,而已知阻力训练能够提升BDNF水平,这可能有助于预防焦虑和抑郁症状的发生。还有证据表明,慢性低度炎症在情绪障碍的病理生理过程中扮演着重要角色,因为这些患者的促炎标记物(如IL-6、IL-1、肿瘤坏死因子-α或C-反应蛋白)水平较高。然而,肌肉收缩时释放的多种细胞因子和肌肉因子具有抗炎特性,这可能有助于降低情绪障碍的风险。同时,慢性氧化应激也与精神疾病风险的增加有关,但最近的Mata分析发现,阻力运动能够减少氧化应激指标并提高抗氧化剂水平。从心理社会的角度来看,积极参与健康行为,如运动,可以增强个人的自我效能感、自尊感和社会支持感,这有助于预防精神健康问题。具体来说,具有较高HGS的个体往往与更高的生活质量、更好的流动性和更积极的日常生活参与度相关联。因此,这些个体可能更倾向于参与社会活动,从而获得更多的社会支持,这反过来可能降低他们患抑郁症或焦虑的风险。
本研究总体上揭示了较高肌肉力量(HGS)与降低抑郁和焦虑风险之间的显著联系,这强调了在人生各个阶段维持良好力量水平的重要性。因此,倡导阻力运动训练的普及,不仅有助于减少功能上的障碍,还能有效缓解焦虑症状。这不仅能够减轻那些已经患有精神健康问题的人群的症状,还能够预防一般健康人群出现精神障碍。已有的随机对照试验证据支持阻力运动训练对于减轻精神健康障碍患者的焦虑和抑郁症状是有效的。尽管如此,未来仍需进行更多的研究来确认阻力运动是否也能在普通人群中降低抑郁和焦虑的发生率。

研究不足:
1. 研究样本来自英国生物库,因此研究结果可能不适用于所有人群;
2. 生活方式和健康相关因素的数据是基于受试者的自我报告,这可能受到回忆偏差的影响;
3. 抑郁和焦虑的诊断主要依据初级保健和住院记录,但仍然可能低估了抑郁和焦虑的实际发病率。
三、述评
本研究发现握力与抑郁和焦虑呈负相关。由于握力是一种简单、非侵入性和廉价的测量方法,它可以很容易地在临床实践中用于对患者进行分层,并识别那些心理健康问题风险较高的人。未来的研究应该评估阻力训练是否可以预防心理健康状况的发生。
来源:原创脏器康复
声明:
1.本网站所有内容,凡是注明 “来源:心脏康复网”的文字、图片和音视频资料,授权转载时须请注明“来源:心脏康复网”。
2.本网所有转载文章系出于学术分享的目的,版权归原作者所有。如有侵权,请及时联系我们更改或删除。